拓扑排序
之前做本科毕设的时候,不知道复杂的调度前后约束怎么编码输入到程序里,为此苦恼了许久,现在想想答案就在那里只是我没有去想罢了,它就是——拓扑排序。
对一个有向无环图(Directed Acyclic Graph简称DAG)G进行拓扑排序,是将G中所有顶点排成一个线性序列,使得图中任意一对顶点u和v,若边<u,v>∈E(G),则u在线性序列中出现在v之前。通常,这样的线性序列称为满足拓扑次序(Topological Order)的序列,简称拓扑序列。
1. 理论知识
1.1 有向无环图
有向无环图(Directed Acyclic Graph简称DAG)指的是一个无回路的有向图。其中:
- 有向:两个节点之间的链接有方向
- 无环:图中不存在闭环
如下就是一个有向无环图。

拓扑图,拓扑结构图(TOPOLOGY)
1.2 拓扑排序
即对DAG中的节点排序,
条件
每个顶点出现且只出现一次。
若存在一条从顶点 A 到顶点 B 的路径,那么在序列中顶点 A 出现在顶点 B 的前面。
只有对有向无环图(DAG)才有拓扑排序。
步骤
- 将边与边的关系确定,建立好入度表和邻接表。
- 从入度为0的点开始删除,如上图显然是1的入度为0,先删除。
- 更新入度表,若存在入度为0的点回到第二步。
- 若节点删除完,则得到拓扑排序结果,如下图得到排序结果为{ 1, 2, 4, 3, 5 }。

- 若某一步存在所有点入度都不为0,则此图为有环图,如下图环中的节点入度都为1。

通常,一个有向无环图可以有一个或多个拓扑排序序列。因为同一入度级别的点可以有不同的排序方式。
2. python实现
2.1 介绍
networkx是Python的一个包,用于构建和操作复杂的图结构,提供分析图的算法。图是由顶点、边和可选的属性构成的数据结构,顶点表示数据,边是由两个顶点唯一确定的,表示两个顶点之间的关系。
matplotlib是从matlab移植过来的用于数学计算画图的包,这里不做过多介绍。
在命令行下通过pip安装networkx:
1 | pip install pillow |
2.2 基本用法
这里仅限于拓扑图相关的用法。
1 | import networkx as nx |

画出的图并不美观,每次运行都不一样,但结构是一样的。
3 解决实际问题
3.1 用矩阵表示前后约束关系
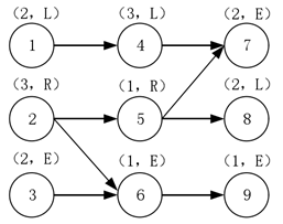
以下图所示的生产问题为例,节点表示工序,节点间的顺序表示前后约束关系。节点上的数字不用管。

节点之间约束关系可以用01矩阵可以很好的表达并编码。如下所示,a[0][3]==1表示节点1和4之间存在顺序约束,0表示没有约束。
1 | a = np.array([[0, 0, 0, 1, 0, 0, 0, 0, 0], |
3.2 通过计算入度,结合递归的思想来进行拓扑排序
如下:
1 | st=>start: 开始 |